치과 임플란트 급여 이용률 추이 및 관련 요인 분석

Analysis of the utilization rate of claimed dental implants and related factors.

Article information

J Korean Dent Assoc. 2024;62(10):619-631
Publication date (electronic) : 2024 October 31
doi : https://doi.org/10.22974/jkda.2024.62.10.003
1Department of Preventive and Social Dentistry, College of Dentistry, Kyung Hee University
2Department of Prosthodontics, College of Dentistry, Kyung Hee University
3Department of Oral and Maxillofacial Surgery, College of Dentistry, Kyung Hee University
4KC Insurance Statistics Business Consulting
박향아1orcid_icon, 배아란2orcid_icon, 권용대3orcid_icon, 홍성진2orcid_icon, 이근철4orcid_icon, 류재인,1,orcid_icon
1경희대학교 치과대학 예방사회치과학교실
2경희대학교 치과대학 치과보철학교실
3경희대학교 치과대학 구강악안면외과교실
4KC보험통계경영컨설팅
Corresponding Author Ryu JI, Prof. Department of preventive and social dentistry, College of dentistry, Kyung Hee University, 26 Kyungheedae-ro, Dongdaemun-gu, Seoul, 02447, South Korea Email: jaeinryu@khu.ac.kr
Received 2024 August 1; Revised 2024 August 7; Accepted 2024 September 26.

Trans Abstract

Purpose

This study aims to identify the utilization of claimed dental implants and the related factors in South Korea using the Anderson behavioral model.Materials and

Methods

This study used the Health Checkup Cohort DB, claimed data from the National Health Insurance Service (NHIS), to identify changes in the utilization of dental implants and related factors. The study population was selected as 75 years old because they were covered by NHIS since the first year, 2014. Finally, the sample subjects in the analysis were 63,880. The data was analyzed using IBM SPSS Statistics for Windows, version 26.0 (Statistical Package for the Social Sciences 26.0. SPSS Inc. Chicago, IL, USA).

Results

The dental implant utilization rate of the study population increased continuously, from 3.4% in Phase 1 to 6.3% and 7.0% in Phase 2 and 3, respectively. The significant differences by region, insurance type, and disability were shown in Phases 1 and 2 (p<0.05), but it was insignificant in Phase 3 (p>0.05). In the fully adjusted logistic regression model, the probability of using dental implants was 1.9 times higher in the higher Phase than the others. The people who had annual oral examinations showed a two times higher possibility of having dental implant surgery.

Conclusions

It is necessary to review the recent claiming trends and related factors before the decision-making for coverage, especially dental coverage with huge effects, such as dental implants.

Ⅰ. 서론

2019년 기준 전 세계 기대수명은 72.8세에 도달하였고, 65세 이상 인구 비율은 2022년 9.8%에서 2070년 20.1%로 약 10.3% 증가할 것으로 예상되고 있다[1]. 한국 역시 빠른 고령화가 진행되고 있는데, 65세 이상 노인의 비율이 2022년 17.5%에서 2070년 46.4%로 약 28.9% 증가할 것으로 전망되고 있어 고령화율이 가장 높은 일본보다 빠른 속도이다[2,3]. WHO에 따르면 노년기에는 일반적으로 청력의 저하, 만성 폐쇄성 폐 질환, 골관절염, 당뇨병과 같은 만성질환이 증가하고, 여러 가지 질환을 동시에 경험할 가능성이 높다[4]. 구강건강 역시 연령이 증가함에 따라 영향을 받아, 타액 분비가 저하되고 다약제 복용으로 인한 구강건조 및 구강 관리 능력이 저하되는 경우가 많다[5~7]. 따라서 건강한 노년기를 위한 관심이 증대되고 있으며, 노인의 보편적인 건강 관리 및 사회보장 시스템을 구축하기 위한 다양한 노력이 전개되고 있다[8,9].

구강의 경우 노년에 가장 두드러진 변화는 65세 이후 급격하게 증가하는 치아 상실이라고 할 수 있다[10]. 특히 노년기 치아 상실은 저작 능력 저하로 식사의 양과 질에 영향을 미치고[11], 영양 섭취 부족으로 이어지면 전반적인 건강에도 심각한 영향을 미칠 수 있다[12,13]. 미국 65세 이상 노인의 무치악자율은 20~44세에 비해 20배 이상 높은 것으로 나타났다[14]. 한국의 경우 무치악자율이 65~69세 대비 75~79세가 약 3.6배, 80세 이상이 약 3.4배로 연령이 증가함에 따라 높아지고 있었다[15]. 따라서 치아 상실을 회복하기 위해 고정성이나 가철성 보철물을 적절한 시기에 수복하는 것이 매우 중요하지만, 고정성 보철물은 장착 시 기능과 환자 만족도가 낮거나[16], 가철성 의치의 경우 탈락, 불량한 지지, 안정성 및 통증 등을 유발하기도 하여[17], 이러한 단점을 최소화할 수 있는 치과 임플란트에 대한 수요와 관심이 증가하고 있다.

이에 정부는 2014년 세계 최초로 치과 임플란트에 건강보험을 적용하였다[18]. 2014년 만 75세 이상 본인부담금 50%로 급여화가 시작되었고, 2016년에는 대상 연령이 만 65세 이상으로 확대되었으며, 2018년에는 본인부담금이 30%로 낮춰져 단계적 보장성 강화 정책이 시행되었다. 치과 임플란트 환자 수는 급여화가 시작된 2014년 52,873명이었으나 2022년에는 1,776,827명으로 약 33.6배 증가하였고(연평균 94.8% 증가율), 총사용량도 2014년 88,877개에서 2022년 2,713,867개로 약 30.5배 증가하였으며(연평균 92.6% 증가율), 총진료 금액 역시 2014년 249억 원에서 2022년 1조 882억 원으로 43.7배 증가하였다(연평균 106.8% 증가율) [19]. 또한 치과 임플란트 관련 연구도 2002년 이후 점차 증가하여 2008년에는 급격히 증가했으며, 2020년부터는 한 해 120만 건 넘게 발표되고 있다[20].

이러한 변화하는 임플란트 급여 이용을 하나의 의료서비스 이용 행동이라고 간주했을 때 이를 결정하는 다양한 요인들은 앤더슨 행동 모형의 적용을 통해 파악할 수 있다[21]. 앤더슨 행동 모형은 의료서비스 이용을 하나의 행동으로 간주하고, 이를 발생시키는 요인을 파악하는데 널리 쓰이고 있다[22]. 요인은 크게 선행요인(Predisposing factors), 가능 요인(Enabling factors), 필요 요인(Needs factors)으로 구분되며, 선행요인은 욕구 발생 이전에 개인의 의지와 상관없이 가지고 있는 인구·사회학적 특성, 가능 요인은 의료서비스 이용이 가능하게 하는 경제학적 요인, 필요 요인은 의료서비스 이용을 필요하게 만드는 요인으로 개인의 질병, 신체적, 정신적 건강 상태로 단순히 생물학적 척도가 아닌 사회적 요소를 포함한다[23].

이에 본 연구는 의료서비스 이용의 대표적 모형인 앤더슨 행동 모형에 기초하여 치과 임플란트 급여화가 시행된 2014년 이후 노인의 치과 임플란트 이용률의 현황을 파악하고, 이에 영향을 미치는 요인들의 분석을 통하여 치과 임플란트 급여 정책의 효과를 검증하고, 향후 치과 임플란트 관련 정책이 근거 중심으로 시행되기 위한 기초 자료를 마련하고자 한다.

Ⅱ. 대상 및 방법

1. 연구 대상

본 연구는 급여화된 치과 임플란트 이용률 추이와 관련 요인을 파악하기 위하여 국민건강보험공단 청구자료인 건강검진 코호트 DB를 활용하였다. 건강검진 코호트 DB는 2002~2003년 일반건강검진 수검자 중 40~79세의 건강보험 자격 유지자의 10%인 51만 명을 코호트(Cohort)로 구축한 연구용 DB로 개인식별이 불가능하며, 자격 및 소득정보(사회경제적 변수), 병·의원 이용 내역 및 건강검진 결과, 요양기관 정보로 구성되어 있다. 치과 임플란트 이용률의 경우 급여화가 시작된 2014년 7월부터 만 75세에 보험화가 적용되었고, 2015년 7월 만 70세, 2016년 7월 만 65세로 보험적용이 확대되었다. 따라서 급여 연령이 정책적 요구에 따라 변화하고, 급여 개수가 최대 2개로 한정된 점을 고려하여 급여화가 시작될 때부터 대상이었던 75세를 연구 대상으로 선정하여 2014년부터 2019년 매해 75세가 되는 대상자를 최종 연구 대상으로 하여 이용률 추이를 분석하였다. 또한 치과 임플란트 급여화에 따른 관련 현황을 파악하기 위하여 급여화가 시작된 2014년부터 가장 최신 자료인 2019년까지의 자료를 활용하였으며, 건강검진의 특성상 1년 혹은 2년에 1회 검사받으므로 6년을 3개 기수로 구성하였다. 본 연구는 2023년 경희대학교 생명윤리위원회의 면제 심의 승인(KHSIRB-23-446(EA))을 받아 진행하였다.

2. 연구 방법

본 연구는 앤더슨 행동 모형에 기초하여 변수를 구성하였다(Figure 1). 앤더슨 행동 모형은 영향을 미치는 요인을 선행요인, 가능 요인, 필요 요인으로 구분되어 있으며, 선행요인으로 인구·사회학적 특성인 기수, 성별을 구성하였다. 가능 요인으로는 경제학적 요인인 거주지역, 보험 종류, 보험료 분위를 구성하였으며, 필요 요인으로는 질병 요인인 고혈압 및 당뇨 유병 여부, 건강행태 요인인 고위험 음주 및 현재 흡연 여부, 유산소 신체활동 여부를 구성하였다. 구체적으로 기수는 1기(2014~2015년), 2기(2016~2017년), 3기(2018~2019년)로 구분하였으며, 거주지역은 특·광역시와 도로 범주화하였다. 보험 종류는 지역가입자(세대주와 세대원), 직장가입자(본인과 피부양자), 의료급여(세대주와 세대원), 보험료 분위는 직장가입자와 지역가입자 각각 10분위를 1~5분위, 6~10분위로 재구분하였다. 장애 여부는 장애인(지체, 뇌병변, 시각, 청각 및 기타 모두 포함)과 비장애인(해당 없음)으로 구분하였다. 건강행태의 경우 건강검진이 사무직의 경우 2년에 1회, 비사무직의 경우 1년에 1회인 점을 고려하여, 2년 모두 검진받았으면 앞선 년도 자료를 사용하였다. 전신질환 중 고혈압과 당뇨는 현재 유병 여부에 따라 분류하였으며, 건강위험 행태는 국민건강영양조사 기준에 따라 1회 평균 음주량이 남성 7잔 이상, 여성 5잔 이상이며 주 2회 이상 음주하는 경우 고위험 음주군, 평생 담배 100개비 이상을 피웠고, 현재 담배를 피우면 현재 흡연군, 일주일에 중강도 신체활동을 2시간 30분 이상 또는 고강도 신체활동을 1시간 15분 이상 또는 중강도와 고강도 신체활동을 섞어서(고강도 1분은 중강도 2분) 각 활동에 상당하는 시간을 실천하는 경우 신체 활동군으로 구분하였다. 결과 변수는 치과 임플란트 이용 여부로 상·하악에 치과 임플란트 고정체 식립술(2단계)(UB121-129)로 건강보험료가 청구된 경우로 범주화하였다. 치과 임플란트의 경우 진단 및 치료계획(1단계) - 고정체 식립(2단계) - 보철 수복(3단계) 총 3단계로 청구가 진행되는데, 2단계에서 임플란트의 핵심 구성 요소인 고정체가 식립되기 때문에 임플란트 이용 여부와 가장 밀접한 관련이 있고, 환자의 건강 상태와 독립 변수 간의 관계를 가장 명확하게 평가할 수 있는 시점이라고 판단하였다. 본 연구에서는 치과 의료서비스 이용이 직접적으로 연계된 진료행위 코드를 이용하였고, 이에 따른 질병의 상태를 표기한 상병 코드는 연구분석에 포함하지 않았다.

Figure 1.

치과 임플란트 이용률 연구 변수: 앤더슨 행동 모형 적용

3. 통계 분석

대상자의 변수별 특성을 파악하기 위해 빈도분석(Frequency analysis)을 시행하였으며, 치과 임플란트 이용과 관련 요인의 관계를 파악하기 위해 앤더슨 행동 모형에 기초하여 관련 변수로 교차분석(Chi-square test)을 시행하였다. 또한 요인별 변수가 미치는 영향을 심층적으로 분석하기 위해 로지스틱 회귀분석(Logistic regression)을 시행하였으며, 개별 변수 모형(Unadjusted model), 전체 보정 모형(Fully adjusted model)으로 구분하여 제시하였다. 모든 분석은 SPSS(Statistical Packages for Social Science 26.0. SPSS Inc. USA) 프로그램을 이용하였으며, 통계적 유의성 검정은 α=0.05로 설정하였다.

Ⅲ. 결과

1. 75세 대상자의 일반적 특성 및 추이

대상자는 총 63,880명으로 1기 30.6%, 2기 36.7%, 3기 32.7%로 비교적 고른 분포를 보였다(Table 1). 전반적으로 모든 기수에서 여성, 도 거주자, 직장가입자, 고소득분위(6~10분위), 장애 없음이 많았다. 건강행태의 경우 고혈압(약 40%) 유병률이 당뇨(약 15%)보다 약 2배 이상 높았고, 고위험 음주율 및 현재 흡연율은 약 5% 이하로 낮았으나, 유산소 신체활동은 실천 안 함이 60% 이상으로 높게 나타났다. 구강건강 관련 행태의 경우 2회 이상 칫솔질이 약 15%, 연간 구강검진 하지 않음이 80% 이상이었다. 기수별로는 기수가 높아질수록 남성과 특·광역시 비율이 증가하였으며, 보험 유형별로는 직장가입자가 2기부터 10% 이상 증가하였으며, 고소득 분위가 지역가입자 증가, 직장가입자 감소하는 양상을 나타냈다. 또한 고혈압 및 당뇨가 있거나, 고위험 음주율 및 현재 흡연율이 없는 경우가 증가하는 양상을 나타냈고, 유산소 신체활동은 3기에서 이전에 비해 10% 이상 증가하였다. 구강건강 관련 행태는 2회 이상 칫솔질과 연간 구강검진을 받은 경우가 점차 증가하는 양상을 보였다.

공단 건강검진 코호트 75세 대상자의 일반적 특성

2. 75세 대상자의 치과 임플란트 이용률 및 추이

75세 대상자의 치과 임플란트 이용률은 1기 3.4%, 2기 6.3%, 3기 7.0%로 기수가 높아짐에 따라 지속해서 증가하였다(Table 2). 전반적으로 모든 기수에서 선행 및 가능 요인인 남성, 특·광역시 거주자, 건강보험 가입자 및 장애가 없는 경우 치과 임플란트 이용률이 높았으며, 특히 보험 유형으로는 지역가입자가 2기부터 2배 이상 높은 이용률을 보였고, 지역가입자의 보험료 분위 내에서 고소득 분위가 모든 기수에서 약 1.5배 높은 이용률을 보였다. 필요 요인인 건강행태의 경우 고혈압 및 당뇨가 있는 경우, 유산소 신체활동을 실천하는 경우 모든 기수에서 높은 이용률을 나타냈다. 구강건강 관련 행태의 경우 하루 2회 이상 칫솔질을 하는 경우 모든 기수에서 2%, 연간 구강검진을 하는 경우 약 1.5배 높은 이용률을 보였다. 모든 기수에서 선행 및 가능 요인 내 남성과 지역가입자 중 고소득 분위에서 치과 임플란트 이용률이 통계학적으로 유의하게 높았고, 필요 요인인 유산소 신체활동, 하루 2회 이상 칫솔질 및 연간 구강검진 여부에 따라서도 유의한 차이를 보였다. 한편 지역, 보험 종류, 장애 여부에 따라 1기 및 2기에서는 유의한 차이를 보였으나 3기에서 유의하게 나타나지 않았다.

공단 건강검진 코호트 75세 대상자의 임플란트 이용률

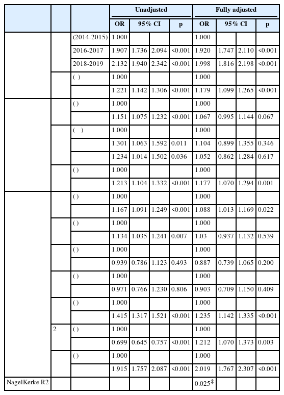
3. 75세 대상자의 치과 임플란트 이용률 관련 앤더슨 요인 로지스틱 회귀분석

앤더슨 행동 모형에 기초한 75세 대상자의 치과 임플란트 이용률 로지스틱 회귀분석 결과(Table 3), 개별 모형에서 기수가 높아지거나, 남성이거나, 특·광역시에 거주하 나, 건강보험 가입자인 경우, 장애가 없거나, 고혈압이나 당뇨가 있는 경우, 유산소 신체활동이나 2회 이상 칫솔질을 실천하는 경우, 연간 구강검진을 받는 경우 치과 임플란트를 이용할 확률이 높았다(p<0.05). 특히 선행요인인 기수에 따라 이용률 변화가 커서, 1기(2014-2015)에 비해 3기(2018-2019)에서 치과 임플란트를 이용할 확률이 약 2.1배 정도 높았다(p<0.001). 또한 필요 요인인 연간 구강검진을 받는 경우 약 1.9배 높은 확률을 보였다(p<0.001).

공단 건강검진 코호트 75세 대상자의 임플란트 이용률에 영향을 미치는 요인

전체 변수로 보정한 경우, 기수가 높아지거나 남성일 때, 장애가 없거나 고혈압이 있는 경우, 유산소 신체활동을 실천하는 경우, 2회 이상 칫솔질을 실천하지 않거나, 연간 구강검진을 받는 경우 치과 임플란트를 이용할 확률이 높았다(p<0.05). 전체 보정 모형 역시 치과 임플란트를 이용할 확률이 선행요인인 기수가 높아지는 경우 약 1.9배, 필요 요인인 연간 구강검진을 받는 경우 약 2배 높게 나타났다(p<0.001).

Ⅳ. 고찰

전 세계적인 고령화로 건강한 노년기에 관한 관심이 증대됨에 따라 이를 위한 다양한 국제적 노력이 전개되고 있다. 한국 역시 고령화가 빠르게 진행됨에 따라 노인들의 보편적인 의료서비스 이용에 대한 필요성을 인식하여 건강보험 보장성 강화 정책의 하나로 2014년 7월 치과 임플란트의 건강보험 적용이 세계 최초로 시작되었다. 이후 치과 임플란트 환자 수 및 사용량이 급속하게 증가하고 있어 정책의 효과성과 치과 임플란트 이용에 영향을 미치는 요인들 파악하기 위한 역학적 연구가 매우 필요한 실정이다. 따라서 본 연구는 치과 임플란트 이용률 현황을 파악하고, 이에 영향을 미치는 요인들을 분석하여 성공적인 치과 임플란트 급여 정책을 위한 근거 자료를 마련하고자 하였다.

본 연구에 따르면 75세 대상자의 치과 임플란트 이용률은 기수가 높아질수록 증가하였는데, 이는 2017년 치과 임플란트 진료 인원 55만 명으로 2014년 3만 명에 비해 16배 증가, 2019년에는 본인부담금 완화로 전년도인 2018년에 비해서도 25% 증가해[24], 보장성 확대 정책에 따라 이용률이 증가함을 확인할 수 있었다. 또한 기수가 증가할수록 지역, 보험 종류, 장애 여부에 따른 격차가 일부 완화되어, 1기와 2기에서는 유의한 차이가 나타났으나 3기에서는 나타나지 않았다. 이는 급여화가 진행될수록 보편적인 보장성을 강화하는 보장성 확대 정책의 취지에 부합하는 결과로 여겨지며, 더욱이 2018년 7월부터 본인 부담금이 30%로 인하되며 사회경제적 요인에 의한 접근성 제한도 일부 완화된 결과로 여겨진다[25].

또한 남성이거나 건강보험 가입자인 경우, 장애가 없거나 고혈압이 있는 경우, 유산소 신체활동을 수행하거나, 하루 2회 이상 칫솔질을 실천하지 않는 경우, 연간 구강검진을 받는 경우 치과 임플란트 이용률이 높게 나타났다. 2018년도 국민건강통계 결과에 따르면 70세 이상 남성 노인의 치주질환 유병률은 여성 노인보다 약 10% 정도 높았으며[26], 여타의 선행 연구에서도 65세 이상 남성 노인의 20개 이상 치아 미보유율과 의치 필요자율 역시 여성 노인보다 약간 높은 것으로 나타났다[27]. 따라서 이러한 영향이 임플란트 필요도로 연결되어 남성의 임플란트 이용률이 상대적으로 높게 나타난 것으로 여겨진다. 고혈압의 경우 치주질환 및 무치악과 연관성이 있는 것으로 보고되어 치과 임플란트 이용에 영향을 미쳤을 수 있으며[28,29], 하루 2회 이상 칫솔질을 수행하지 않는 경우, 치은염 및 치주질환 위험성이 커져[30], 잔존치아 수가 감소해 임플란트 이용률이 높아졌을 수 있다[31]. 유산소 신체활동의 경우 해당 노인의 경우 일상생활과 건강을 유지하고자 하는 의지가 강하여[32,33], 상실된 치아도 회복하기 위해 치과 임플란트 이용률도 높게 나타났을 수 있다[34]. 연간 구강검진 이용자도 치과 임플란트 이용률이 약 2배 높은 것으로 나타났는데, 이는 노인이 구강검진을 받는 경우 열악한 구강 상태로 인하여 발치로 이어지는 경우가 많고[35], 현재 치과 임플란트가 2개까지 급여로 제공되고 있는 점으로 인하여 해당 서비스가 우선하여 고려되었을 가능성이 있다.

한편, 본 연구 결과에서 당뇨, 현재 흡연 여부 및 고위험 음주 여부는 임플란트 이용에 유의한 영향을 미치지 않는 것으로 나타났다. 당뇨의 경우 염증과 면역 반응에 영향을 미쳐 치주질환의 위험성을 증가시킬 수 있고[36,37], 흡연은 치주조직의 혈류를 감소시키고 면역반응을 억제하여 치주질환의 주요 위험 요인으로 평가되고 있다[38,39]. 음주 역시 구강 위생 상태를 악화시키고 염증반응을 증가시켜 치주 건강에 부정적 영향을 미칠 수 있는 것으로 나타났다[40]. 이번 연구에서 치과 임플란트의 경우 구강질환 후 발생한 치아 상실을 대체하기 위한 재활·치료서비스의 한 종류이며, 이는 구강건강 상태와 구분되는 특징을 가질 수 있다. 즉 치아 상실을 유발하는 구강건강의 위험 요인과 치과 임플란트라는 치과 의료서비스의 연관 요인이 상이할 가능성도 존재한다. 또한 상실된 치아를 대체할 수 있는 치과 의료서비스가 치과 임플란트 이외에도 존재하는 관계로 치과 의료서비스에서도 치과 임플란트 또는 치과 임플란트 서비스 이용이 가지는 특징이 존재할 수 있다. 또한 해당 요인들이 최종모형에 포함된 여러 가지 요인에 의해 보정되었을 가능성도 있다. 따라서 이후의 연구에서 요인들 각각의 특성 및 보정 후 나타난 변화에 대한 전체 요인들 간의 관계 등에 대한 모니터링과 심층 연구가 필요할 것으로 여겨진다.

본 연구는 제한점은 다음과 같다. 첫째, 본 연구를 통하여 치과 임플란트의 보장성 확대 시점에서의 이용률 변화와 격차 완화 효과를 일부 확인하였으나, 본 연구 결과에서 나타난 이용률의 증감이 해당 시점에서 영향을 미칠 수 있는 다양한 사회경제적 요인과 사회 전반의 제도적 요인 등의 영향으로 인하여 나타난 일시적 효과인지 급여화 효과로 인해 나타난 변화인지 명확하지 않다. 또한 비교적 관찰 가능 연도가 짧고, 급여 연령의 변화로 인하여 연구 대상자를 75세로 제한했다는 점에도 한계가 있다. 따라서 추후 영향을 미칠 수 있는 다양한 요인들을 고려한 지속적인 모니터링과 분석 대상의 확대를 통해 정책의 효과성을 여러 방면에서 살펴볼 필요성이 있다. 둘째, 본 연구에서 사용한 건강검진 코호트 자료는 청구 기반 데이터로 대상자들이 가지고 있는 다양한 사회적, 심리적 배경을 반영하지 못할 가능성이 있고, 건강검진 시 자가 보고에 기반한 데이터이므로 정확도가 다소 떨어질 수 있어 이러한 형태가 결과에 영향을 미쳤을 수 있다. 또한 청구 데이터의 특성상 해당 시점에서의 단면적 결과로 변화 추세나 장기적인 효과를 파악하는데, 다소 한계가 있다. 따라서 다음 연구에서 정확한 요인을 파악하기 위해서는 대상자들의 심층 면접 및 지속적인 추적 관찰 연구가 필요하다. 셋째, 전체 변수로 보정한 모형에서 총분산이 2.5%로 나타났는데, 이는 우선 청구 기반 데이터의 특성상 독립 변수로 포함된 변수들이 검진 시 자가 기입한 자료라서 이에 따라 예측력이 제한되었거나, 본 연구의 대상자가 연구 기간 내에 75세인 노인으로 한정되어 표본의 크기가 작아진 것도 하나의 요인일 수 있다. 따라서 이후 연구에서는 변수 간의 관계성 등을 고려한 더욱 정교한 연구 설계를 마련할 필요가 있다.

그럼에도 본 연구는 치과 임플란트 급여 확대가 논의되고 있는 시점에서 급여화가 시작된 2014년 7월 이후 치과 임플란트 급여 이용률 추이와 관련 요인 분석을 통해 급여 정책의 효과를 일부 확인하였고, 관련 요인들을 파악하여 치과 임플란트 보장성 확대뿐 아니라 이용률 증가를 위해 검토해야 할 사항들을 확인하였다는 점에 의의가 있다. 또한 국민건강보험공단 자료의 분석을 통해 실제 임상에서 청구되는 치과 진료와 검진 내용을 반영한 실질적인 임플란트 이용 관련 요인들을 파악해 임플란트 급여 확대 및 관련 정책을 수립하는데 유용할 것으로 사료된다.

Ⅴ. 이해상충(Conflicts of Interest)의 유무

없음.

References

1. United Nations. World population prospects 2022: summary of results. United Nation;Newyork:2022:1-52.
2. Joo BH, Lim JM, Noh BR, Shin YG, Lim SA, Jeong HS. Population aging: experiences of international organizations and selected countries. Sejong:Korea institute for health and social affairs; 2019:3-349.
3. Statistics Korea. Resources, Press releases, Population and Household. [Internet]. [cited 2023 Sep 10]. Available from:https://kostat.go.kr/board.es?mid=a10301020600&bid=207&act=view&list_no=420361.
4. World Health Organization. Home, Newsroom, Fact sheets, Detail, Ageing and health. [Internet]. [cited 2023 Sep 10]. Available from: https://www.who.int/news-room/fact-sheets/detail/ageing-and-health.
5. Thomson WM. Dental caries experience in older people over time: what can the large cohort studies tell us? British dental journal 2004;196:89–92.
6. Singh ML, Papas A. Oral implications of polypharmacy in the elderly. Dental Clinics 2014;58:783–796.
7. Gil-Montoya JA, Ferreira de Mello AL, Barrios R, Gonzalez-Moles MA, Bravo M. Oral health in the elderly patient and its impact on general well-being: a nonsystematic review. Clin Interv Aging 2015;:461–467.
8. United Nations. Transforming our world: the 2030 agenda for sustainable development. Newyork:United Nation;2015:1-35.
9. OECD. Preventing ageing unequally. [Internet]. [cited 2023 Sep 10]. Available from:http://www.oecd.org/health/preventingageing-unequally-9789264279087-en.htm.
10. Kim JS, Kim SY, Jun EJ, Jeong SH, Kim JB. The number of existing permanent teeth and the denture status of elderly adults aged 65 years and above living in metropolitan cities using data from the Korean National Health and Nutrition Examination Survey. J Korean Soc Dent Hyg 2018;18:921. :932.
11. Osterberg T, Dey DK, Sundh V, Carlsson GE, Jansson JO, Mellstrom D. Edentulism associated with obesity: a study of four national surveys of 16,416 Swedes aged 55–84 years. Acta Odontol Scand 2010;68:360–367.
12. Bidlack WR. Interrelationships of food, nutrition, diet and health: the national association of state universities and land grant colleges white paper. J Am Coll Nutr 1996;15:422–433.
13. Sheiham A, Steele J. Does the condition of the mouth and teeth affect the ability to eat certain foods, nutrient and dietary intake and nutritional status amongst older people? Public Health Nutr 2001;4:797–803.
14. Lee HO, Kim DW, Jung A, Chae WJ. Ethnicity, social, and clinical risk factors to tooth loss among older adults in the U.S., NHANES 2011–2018. Int J Environ Res Public Health 2022;19:2382.
15. Park HA, Shin SH, Ryu JI. Edentulous disparities among geriatric population according to the sexual difference in South Korea: a nationwide population-based study. Sci Rep 2023;13:7854.
16. Papi P, Giardino R, Sassano P, Amodeo G, Pompa G, Cascone P. Oral health related quality of life in cleft lip and palate patients rehabilitated with conventional prostheses or dental implants. J Int Soc Prev Community Dent 2015;5:482.
17. Shaghaghian S, Taghva M, Abduo J, Bagheri R. Oral healthrelated quality of life of removable partial denture wearers and related factors. J Oral rehabil 2015;42:40–48.
18. Health Insurance Review & Assessment Service. System & Policy, Insurance recognition standards [Internet]. [cited 2023 Sep 10]. Available from: https://www.hira.or.kr/rc/insu/insuadtcrtr/InsuAdtCrtrList.do?pgmid=HIRAA030069000400.
19. HIRA Bigdata Open portal. Medical statistical information, Medical statistics by disease/behavior [Internet]. [cited 2023 Sep 10]. Available from: https://opendata.hira.or.kr/op/opc/olapDiagBhvInfoTab1.do.
20. Park SY. Studies related to dental implant research published in Korea: a 20-year retrospective study using Korean citation index platform. J Korean Soc Dent Hyg 2022;60:515–528.
21. Song TM. An anderson model approach to the mediation effect of stress-vulnerability factors on the use of outpatient care by the elderly. Health and Social Welfare Review 2013;33:547–576.
22. Moon YP, Won SJ. Factors determining the economic preparation for later life of the elderly with industrial injury: based on andersen behavioral model of health care utilization. J Korea Contents Assoc 2015;15:313–325.
23. Andersen RM. Revisiting the behavioral model and access to medical care: does it matter? J Health and Soc Behav 1995;36:1–10.
24. Shin SH. The trend of National Health Insurance dental treatment in the last 10 years. Wonju:Health Insurance Review & Assessment Service;2020:1-15.
25. Seo HW, Kim YS. Changes in dental care utilization and expenditure by the expansion policy of the health insurance coverage: Korea Health Panel Survey 2012-2016. J Korean Soc Dent Hyg 2020;20:611–21.
26. Korea disease control and prevention agency. 2018 National health statistics. 2018.
27. Park HA. Oral health disparities of elderly by gender and living alone in S. Korea : Based on Korean National Health and Nutrition Examination Survey (KNHANES Ⅶ)(2016-2018) (Dissertation). Seoul: Kyunghee University; 2021.
28. Tonetti MS, Graziani F. The cardiovascular system and oral infections. In: Grlick M, editor. The oral-systemic health connection. Hanover Park: Quintessence Publishing Co. Inc 2014;139-155.
29. Felton DA. Edentulism and comorbid factors. J Prosthodont 2009;8:88–96.
30. Chapple Iain LC, et al. Primary prevention of periodontitis: managing gingivitis. Journal of clinical periodontology 2015;42:S71–S76.
31. Lee MR. The factor affecting the number of remaining teeth in the South Korea elderly. Journal of Korea Academia-Industrial cooperation Society 2024;1:156–165.
32. Kim CH, Park KJ, Kim KH. Relationship of self-perceived health, activities of daily living, life style pattern on elder's. Korea society for wellness 2013;8:35–44.
33. Kim DJ, Oh TH. Relationship between social support, health promoting behaviors and happiness of elderly people participating in physical activity. Journal of Wellness 2019;14:301–312.
34. Kim SG, Son SY, Jeong SA, Jeong MA. Factor influent on treatment decision for the need of dental implant. J Korea Contents Assoc 2011;11:264–273.
35. Lee JH, et al. Trends in the incidence of tooth extraction due to periodontal disease: results of a 12-year longitudinal cohort study in South Korea. Journal of periodontal & implant science 2017;47:264–272.
36. Llambés F, Arias-Herrera S, Caffesse R. Relationship between diabetes and periodontal infection. World journal of diabetes 2015;6:927.
37. Matthews DC. The relationship between diabetes and periodontal disease. Journal-Canadian Dental Association 2002;68:161–164.
38. Jang AY, Lee JK, Shin JY, Lee HY. Association between smoking and periodontal disease in Korean adults: the fifth Korea National Health and Nutrition Examination Survey (2010 and 2012). Korean journal of family medicine 2016;37:117.
39. Johnson GK, Hill M. Cigarette smoking and the periodontal patient. Journal of periodontology 2004;75:196–209.
40. Kumar PS. Interventions to prevent periodontal disease in tobacco-, alcohol-, and drug-dependent individuals. Periodontology 2000 2020;84:84–101.

Article information Continued

Figure 1.

치과 임플란트 이용률 연구 변수: 앤더슨 행동 모형 적용

Table 1.

공단 건강검진 코호트 75세 대상자의 일반적 특성

특성 구분 Total
1기(2014-2015)
2기(2016-2017)
3기(2018-2019)
p
N % N % N % N %
전체 63,880 100.0 19,523 30.6 23,468 36.7 20,889 32.7
선행 요인
성별 여성 33,622 52.6 10,396 53.3 12,334 52.6 10,892 52.1 <0.001
남성 30,258 47.4 9,127 46.7 11,134 47.4 9,997 47.9
차이 5.2 -6.6 5.2 4.2
가능 요인
지역 38,718 60.6 12,158 62.3 14,323 61.0 12,237 58.6 <0.001
특·광역시 25,157 39.4 7,365 37.7 9,144 39.0 8,648 41.4
차이 21.2 24.6 22.0 17.2
보험 종류 의료급여 2,390 3.7 726 3.7 921 3.9 743 3.6 <0.001
직장가입자 43,769 68.5 13,428 58.8 16,293 69.4 14,048 67.3
지역가입자 17,721 27.7 5,369 27.5 6,254 26.6 6,098 29.2
차이* 40.8 31.3 42.8 37.6
보험료 분위
 지역가입자 1~5분위 6,452 36.4 2,537 47.3 2,111 33.8 1,804 29.6 <0.001
6~10분위 11,269 63.6 2,832 52.7 4,143 66.2 4,294 70.4
차이 27.2 5.4 32.4 40.8
 직장가입자 1~5분위 11,364 26.3 3,290 24.5 4,143 25.9 3,931 28.4 <0.001
6~10분위 31,897 73.7 10,138 75.5 11,866 74.1 9,887 71.6
차이 47.4 51.0 48.2 43.2
필요 요인
장애 11,158 17.5 3,459 17.7 4,026 17.2 3,673 17.6 0.269
52,722 82.5 16,064 82.3 19,442 82.8 17,216 82.4
차이 65.0 64.6 65.6 64.8
고혈압 25,686 40.2 7,529 38.6 9,149 39.0 9,008 43.1 <0.001
38,194 59.8 11,994 61.4 14,319 61.0 11,881 56.9
차이 19.6 22.8 22.0 13.8
당뇨 9,637 15.1 2,633 13.5 3,474 14.8 3,530 16.9 <0.001
54,243 84.9 16,890 86.5 19,994 85.2 17,359 83.1
차이 69.8 73.0 70.4 66.2
현재 흡연 2,491 3.9 924 4.7 1,089 4.6 478 2.3 <0.001
61,389 96.1 18,599 95.3 22,379 95.4 20,411 97.7
차이 92.2 90.6 90.8 95.4
고위험 음주 1,356 2.7 527 2.7 668 2.8 161 0.8 <0.001
62,524 97.9 18,996 97.3 22,800 97.2 20,728 99.2
차이 95.2 94.6 94.4 98.4
유산소 신체활동 47,259 74.0 14,816 75.9 19,656 83.8 12,787 61.2 <0.001
16,621 26.0 4,707 21.4 3,812 16.2 8,102 38.8
차이 48.0 54.5 67.6 22.4
하루 평균 칫솔질 횟수 2회 미만 52,365 82.0 16,351 83.8 19,213 81.9 16,801 80.4 <0.001
2회 이상 11,515 18.0 3,172 16.2 4,255 18.1 4,088 19.6
차이 64.0 67.6 63.8 60.8
연간 구강검진 56,301 88.1 17,545 89.9 20,663 88.0 18,093 86.6 <0.001
7,579 11.9 1,978 10.1 2,805 12.0 2,796 13.4
차이 76.2 79.8 76.0 73.2
*

차이(%) = 직장가입자(%) - 지역가입자(%)

Table 2.

공단 건강검진 코호트 75세 대상자의 임플란트 이용률

특성 구분 Total
1기(2014-2015)
2기(2016-2017)
3기(2018-2019)
N n % p N n % p N n % p N n % p
전체 63,880 3,583 5.6 <0.001 19,523 661 3.4 23,468 1,470 6.3 20,889 1,452 7.0
선행 요인
성별 여성 33,622 1,717 5.1 <0.001 10,396 308 3.0 <0.001 12,334 708 5.7 <0.001 10,892 701 6.4 0.002
남성 30,258 1,866 6.2 9,127 353 3.9 11,134 762 6.8 9,997 751 7.5
차이 1.1 0.9 1.1 1.1
가능 요인
지역 38,718 2,057 5.3 <0.001 12,158 381 3.1 0.012 14,323 849 5.9 0.008 12,237 827 6.8 0.189
특·광역시 25,157 1,526 6.1 7,365 280 3.8 9,144 621 6.8 8,648 625 7.2
차이 0.8 0.7 0.9 0.4
보험 종류 의료급여 2,390 109 4.6 0.029 726 24 3.3 0.562 921 36 3.9 <0.001 743 49 6.6 0.909
직장가입자 43,769 2,437 5.6 13,428 467 3.5 16,293 995 6.1 14,048 975 6.9
지역가입자 17,721 1,037 5.9 5,369 170 3.2 6,254 439 7.0 6,098 428 7.0
차이 0.3 0.3 0.9 0.1
보험료 분위
 지역가입자 1~5분위 6,452 232 3.6 <0.001 2,537 49 1.9 <0.001 2,111 90 4.3 <0.001 1,804 93 5.2 <0.001
6~10분위 11,269 805 7.1 2,832 121 4.3 4,143 349 8.4 4,294 335 7.8
차이 3.5 2.4 4.1 2.6
 직장가입자 1~5분위 11,364 597 5.3 0.112 3,290 102 3.1 0.174 4,143 234 5.6 0.191 3,931 261 6.6 0.358
6~10분위 31,897 1,802 5.7 10,138 365 3.6 11,866 737 6.2 9,887 700 7.1
차이 0.4 0.5 0.6 0.5
필요 요인
장애 11,158 537 4.8 <0.001 3,459 93 2.7 0.012 4,026 212 5.3 0.004 3,673 232 6.3 0.096
52,722 3,046 5.8 16,064 568 3.5 19,442 1,258 6.5 17,216 1,220 7.1
차이 1.0 0.8 1.2 0.8
고혈압 25,686 1,568 6.1 <0.001 7,529 291 3.9 0.003 9,149 602 6.6 0.110 9,008 675 7.5 0.007
38,194 2,015 5.3 11,994 370 3.1 14,319 868 6.1 11,881 777 6.5
차이 0.8 0.8 0.5 1.0
당뇨 9,637 597 6.2 0.007 2,633 96 3.6 0.427 3,474 241 6.9 0.076 3,530 260 7.4 0.288
54,243 2,986 5.5 16,890 565 3.3 19,994 1,229 6.1 17,359 1,192 6.9
차이 0.7 0.3 0.8 0.5
현재 흡연 2,491 132 5.3 0.493 924 38 4.1 0.211 1,089 58 5.3 0.191 478 36 7.5 0.614
61,389 3,451 5.6 18,599 623 3.3 22,379 1,412 6.3 20,411 1,416 6.9
차이 0.3 0.8 1.0 0.6
고위험 음주 1,356 74 5.5 0.806 527 23 4.4 0.208 668 32 4.8 0.111 161 19 11.8 0.015
62,524 3,509 5.6 18,996 638 3.4 22,800 1,438 6.3 20,728 1,433 6.9
차이 0.1 1.0 1.5 4.9
유산소 신체활동 47,259 2,409 5.1 <0.001 14,816 442 3.0 <0.001 19,656 1,162 5.9 <0.001 12,787 805 6.3 <0.001
16,621 1,174 7.1 4,707 219 4.7 3,812 308 8.1 8,102 647 8.0
차이 2 1.7 2.2 1.7
하루 평균 칫솔질 횟수 2회 미만 52,365 2,740 5.2 <0.001 16,351 511 3.1 <0.001 19,213 1,131 5.9 <0.001 16,801 1,098 6.5 <0.001
2회 이상 11,515 843 7.3 3,172 150 4.7 4,255 339 8.0 4,088 354 8.7
차이 2.1 1.6 2.1 2.2
연간 구강검진 56,301 2,875 5.1 <0.001 17,545 529 3.0 <0.001 20,663 1,184 5.7 <0.001 18,093 1,162 6.4 <0.001
7,579 708 9.3 1,978 132 6.7 2,805 286 10.2 2,796 290 10.4
차이 4.2 3.7 4.5 4.0
*

차이(%) = 직장가입자(%) - 지역가입자(%)

해당 p-value의 경우 1~3기 임플란트 이용률 차이에 대한 통계적 유의성을 의미

Table 3.

공단 건강검진 코호트 75세 대상자의 임플란트 이용률에 영향을 미치는 요인

요인 특성 구분 Unadjusted
Fully adjusted
OR 95% CI p OR 95% CI p
선행 기수 (2014-2015) 1.000 1.000
2016-2017 1.907 1.736 2.094 <0.001 1.920 1.747 2.110 <0.001
2018-2019 2.132 1.940 2.342 <0.001 1.998 1.816 2.198 <0.001
성별 (여성) 1.000 1.000
남성 1.221 1.142 1.306 <0.001 1.179 1.099 1.265 <0.001
가능 지역 (도) 1.000 1.000
특광역시 1.151 1.075 1.232 <0.001 1.067 0.995 1.144 0.067
보험 유형 (의료급여) 1.000 1.000
지역가입자 1.301 1.063 1.592 0.011 1.104 0.899 1.355 0.346
직장가입자 1.234 1.014 1.502 0.036 1.052 0.862 1.284 0.617
장애 여부 (유) 1.000 1.000
1.213 1.104 1.332 <0.001 1.177 1.070 1.294 0.001
필요 고혈압 (무) 1.000 1.000
1.167 1.091 1.249 <0.001 1.088 1.013 1.169 0.022
당뇨 (무) 1.000 1.000
1.134 1.035 1.241 0.007 1.03 0.937 1.132 0.539
현재 흡연 (무) 1.000 1.000
0.939 0.786 1.123 0.493 0.887 0.739 1.065 0.200
고위험 음주 (무) 1.000 1.000
0.971 0.766 1.230 0.806 0.903 0.709 1.150 0.409
유산소 신체활동 (무) 1.000 1.000
1.415 1.317 1.521 <0.001 1.235 1.142 1.335 <0.001
2회 이상 칫솔질 (유) 1.000 1.000
0.699 0.645 0.757 <0.001 1.212 1.070 1.373 0.003
연간 구강검진 (무) 1.000 1.000
1.915 1.757 2.087 <0.001 2.019 1.767 2.307 <0.001
NagelKerke R2 0.025
*

The data were tested by logistic regression.

The fully adjusted model was adjusted for phase, sex, location of residence, insurance type, disability, hypertension, diabetes, current smoking, high-risk drinking, aerobic physical activity, toothbrushing, and oral exam.

The Nagelkerke R2 is the value for the fully adjusted model.